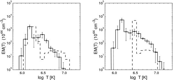
Fig. 11

Emission measure distributions vs. temperature, EM(T), for both left (left plot) and right (right plot) subregions obtained with the BIM algorithm (solid line histograms with 1σ error bars). Parent EM(T) distributions obtained from Monte Carlo simulations within the framework of the filter ratio analysis in Reale et al. (2009) are also shown (dashed histograms).
Current usage metrics show cumulative count of Article Views (full-text article views including HTML views, PDF and ePub downloads, according to the available data) and Abstracts Views on Vision4Press platform.
Data correspond to usage on the plateform after 2015. The current usage metrics is available 48-96 hours after online publication and is updated daily on week days.
Initial download of the metrics may take a while.