Free Access
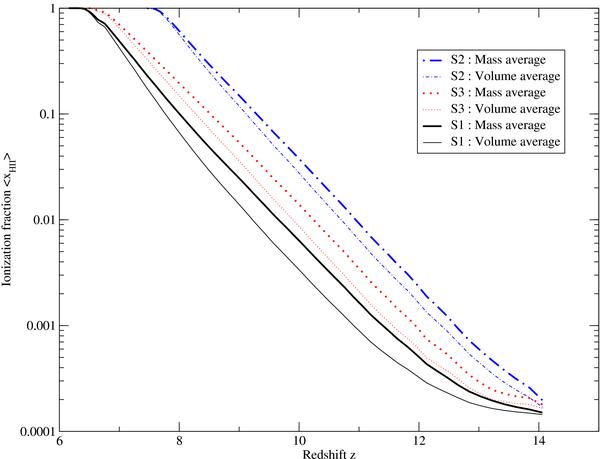
Fig. 2

Mass (thicker lines) and volume (thinner lines) weighted ionization fraction of hydrogen. S1 and S3 use Salpeter IMF and S2 use top-heavy IMF. S3 contains helium element.
Current usage metrics show cumulative count of Article Views (full-text article views including HTML views, PDF and ePub downloads, according to the available data) and Abstracts Views on Vision4Press platform.
Data correspond to usage on the plateform after 2015. The current usage metrics is available 48-96 hours after online publication and is updated daily on week days.
Initial download of the metrics may take a while.