Free Access

Fig. 1

thumbnail

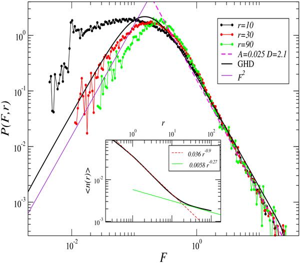
PDF of the force for the VL1 computed one different scales r. The solid line is Eq. (7) with the parameters from Eq. (12). In the inset panel, the behavior of the average conditional density is plotted in addition to its best fits for r < 20 Mpc h-1 and for 20 < r < 80 Mpc h-1.

Current usage metrics show cumulative count of Article Views (full-text article views including HTML views, PDF and ePub downloads, according to the available data) and Abstracts Views on Vision4Press platform.

Data correspond to usage on the plateform after 2015. The current usage metrics is available 48-96 hours after online publication and is updated daily on week days.

Initial download of the metrics may take a while.