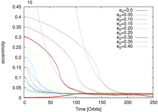
Fig. 13

Time evolution of eccentricity of planets embedded in isothermal discs with H/r = 0.037 and individual starting eccentricity. The vertical dotted line at t = 10 indicates the time at which the planets have grown to their full mass. The black dashed lines indicate an exponential decay with a fitted τecc = 29 shifted to obtain a match for e0 = 0.1,0.2,0.3 and 0.4.
Current usage metrics show cumulative count of Article Views (full-text article views including HTML views, PDF and ePub downloads, according to the available data) and Abstracts Views on Vision4Press platform.
Data correspond to usage on the plateform after 2015. The current usage metrics is available 48-96 hours after online publication and is updated daily on week days.
Initial download of the metrics may take a while.