Free Access
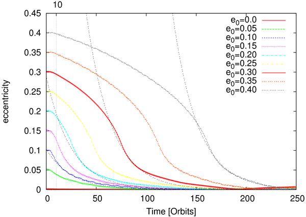
Fig. 16

Time evolution of eccentricity for planets with individual starting eccentricity for the fully radiative case. The black dashed lines indicate an exponential decay with τecc = 25 for e0 = 0.1,0.2,0.3 and 0.4.
Current usage metrics show cumulative count of Article Views (full-text article views including HTML views, PDF and ePub downloads, according to the available data) and Abstracts Views on Vision4Press platform.
Data correspond to usage on the plateform after 2015. The current usage metrics is available 48-96 hours after online publication and is updated daily on week days.
Initial download of the metrics may take a while.