Free Access
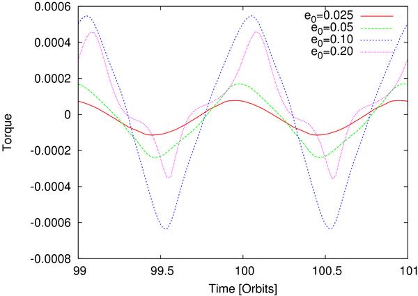
Fig. 9

Torque acting on the planet during the time of 2 planetary orbits for planets on fixed eccentric orbits in the isothermal case. The displayed torques correspond to the surface density maps displayed in Fig. 7.
Current usage metrics show cumulative count of Article Views (full-text article views including HTML views, PDF and ePub downloads, according to the available data) and Abstracts Views on Vision4Press platform.
Data correspond to usage on the plateform after 2015. The current usage metrics is available 48-96 hours after online publication and is updated daily on week days.
Initial download of the metrics may take a while.