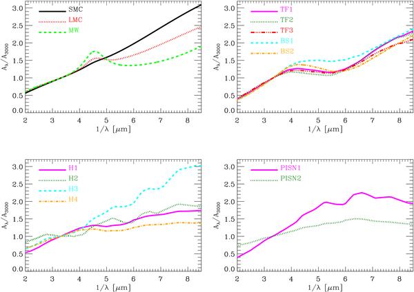
Fig. 1

Upper left panel: empirical curves for dust extinction in the local Universe (Savage & Mathis 1979; Fitzpatrick 1989). Upper right panel: theoretical extinction curves predicted by type II SNe dust models proposed by Todini & Ferrara (2001) and Bianchi & Schneider (2007). Lower left panel: results of the type II SNe dust model by Hirasita et al. (2008). Lower right panel: predictions for extinction curves produced by PISNe dust (Hirasita et al. 2008). The main properties of the theoretical models shown in this figure are mentioned in Sect. 3.2.
Current usage metrics show cumulative count of Article Views (full-text article views including HTML views, PDF and ePub downloads, according to the available data) and Abstracts Views on Vision4Press platform.
Data correspond to usage on the plateform after 2015. The current usage metrics is available 48-96 hours after online publication and is updated daily on week days.
Initial download of the metrics may take a while.