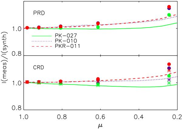
Fig. A.4

Ratio of the median of quiet Sun limb darkening measured in PSPT images to the quiet Sun limb darkening derived from the synthesis performed for the PK-027 (green, solid line), PK-010 (violet, dotted line), and PKR-011 (red, dashed line) filters by assuming either the PRD (top panel) or CRD (bottom panel) approximation. The lines indicate the results obtained by taking into account the CLV derived from the synthesis, while circles show the results derived by convolving the synthetic homogeneous quiet Sun atmosphere (associated with model B) by the model PSF. Asterisks show the ratio of the CLVs measured in PK to the ones derived from contaminated inhomogeneous atmosphere composed of quiet Sun and network small features, associated with models B and D, respectively.
Current usage metrics show cumulative count of Article Views (full-text article views including HTML views, PDF and ePub downloads, according to the available data) and Abstracts Views on Vision4Press platform.
Data correspond to usage on the plateform after 2015. The current usage metrics is available 48-96 hours after online publication and is updated daily on week days.
Initial download of the metrics may take a while.