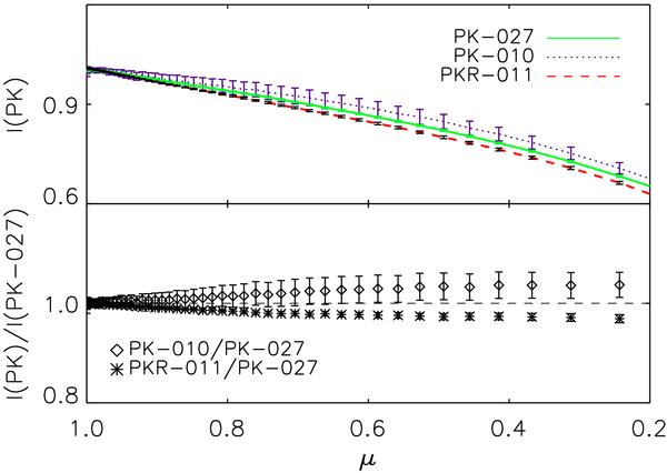
Fig. 4

Top: quiet Sun limb darkening measured in PK-027 (green, solid line), PK-010 (violet, dotted line), and PKR-011 (red, dashed line) good images. Intensity values are normalized to the median of values measured at the disk center (μ ≥ 0.95). The error bars show the dispersion of measured values. Bottom: ratio of the median of quiet Sun limb darkening measured in PK-010 to PK-027 (diamond) images, and in PKR-011 to PK-027 images (asterisk). The error bars show the dispersion of values from error propagation. The dashed line would represent perfect agreement between the two compared sets.
Current usage metrics show cumulative count of Article Views (full-text article views including HTML views, PDF and ePub downloads, according to the available data) and Abstracts Views on Vision4Press platform.
Data correspond to usage on the plateform after 2015. The current usage metrics is available 48-96 hours after online publication and is updated daily on week days.
Initial download of the metrics may take a while.