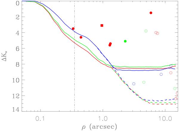
Fig. 7

Median 6-σ detection limits in the
Ks band for F- (red), A- (green), and B-type (blue)
stars, in direct imaging (plain lines) and coronagraphic (dashed lines) modes. The
coronagraphic detection limits are better than the direct imaging ones from 2″ on,
for the reasons given in Sect. 4.3. The
measured separations ρ and magnitude differences
ΔKs of companion candidates confirmed through
multi-epoch observations and those with an undefined status are indicated by
filled and empty circles, respectively. The confirmed companion candidate to
ι Crt, which was only observed in the H band,
is marked by the red square assuming a (H−K)
colour close to 0. The dash-dotted line at indicates the occulting mask
radius.
Current usage metrics show cumulative count of Article Views (full-text article views including HTML views, PDF and ePub downloads, according to the available data) and Abstracts Views on Vision4Press platform.
Data correspond to usage on the plateform after 2015. The current usage metrics is available 48-96 hours after online publication and is updated daily on week days.
Initial download of the metrics may take a while.