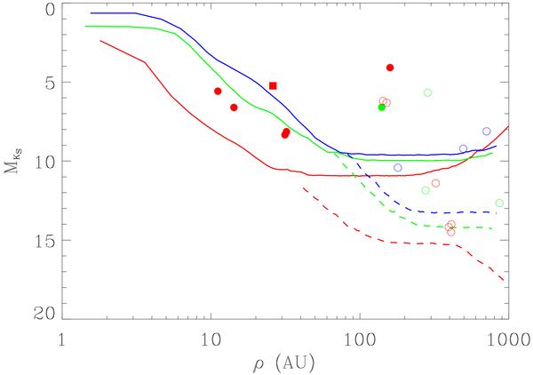
Fig. 8

Absolute magnitudes vs. projected separations. The legend is the same as for Fig. 7. The absolute magnitudes MKs and projected separations are calculated for each object given its apparent magnitude mKs in the Ks band and distance d from Earth. The 6-σ detection limits shown for F- (red), A- (green), and B-type (blue) stars in direct imaging (plain lines) and coronagraphic (dashed lines) modes are the medians of the detection limits MKs = f(ρ(d),d,mKs) calculated for all stars of a given spectral type.
Current usage metrics show cumulative count of Article Views (full-text article views including HTML views, PDF and ePub downloads, according to the available data) and Abstracts Views on Vision4Press platform.
Data correspond to usage on the plateform after 2015. The current usage metrics is available 48-96 hours after online publication and is updated daily on week days.
Initial download of the metrics may take a while.