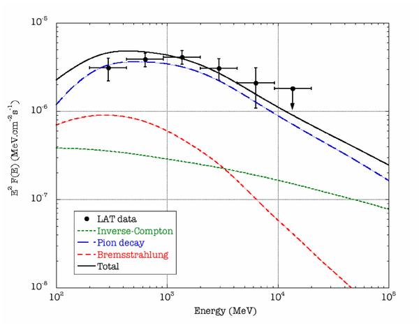
Fig. 5

Spectrum of the SMC. The LAT data points (in black) come from independent fits of the 2DG plus background models in 6 different energy bins. The curves correspond the components and total of a spectral model of CR-ISMinteractions in the SMC fitted to the data using a binned maximum likelihood analysis (see text).
Current usage metrics show cumulative count of Article Views (full-text article views including HTML views, PDF and ePub downloads, according to the available data) and Abstracts Views on Vision4Press platform.
Data correspond to usage on the plateform after 2015. The current usage metrics is available 48-96 hours after online publication and is updated daily on week days.
Initial download of the metrics may take a while.