Free Access

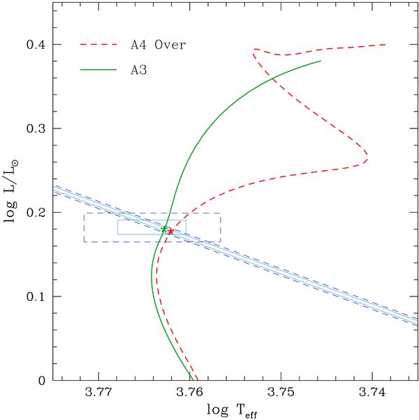
Fig. 9

thumbnail

HR diagram showing the evolutionary tracks of model A3 (with a radiative core) and model A4 (with a convective core) from Miglio & Montalbán (2005). The error boxes for Teff, log L/L, and radii correspond to 1σ (solid line) and 2σ (dashed-line).

Current usage metrics show cumulative count of Article Views (full-text article views including HTML views, PDF and ePub downloads, according to the available data) and Abstracts Views on Vision4Press platform.

Data correspond to usage on the plateform after 2015. The current usage metrics is available 48-96 hours after online publication and is updated daily on week days.

Initial download of the metrics may take a while.