Free Access

Fig. 10

thumbnail

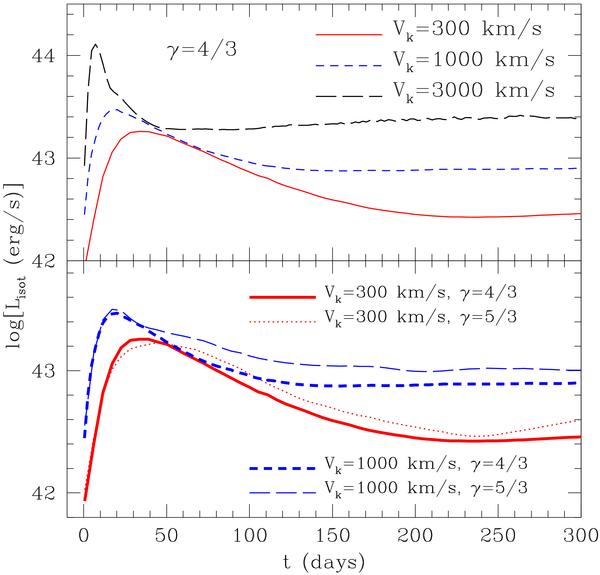
Top panel: luminosity computed in the isothermal evolution Lisot for different values of the kick velocity for model L.00 and for a polytropic index γ = 4/3. Note the presence of a peak at about  ~20d after the merger, of a binary with total mass M ≃ 106   M and of a persistent luminosity for several days at values which are a factor of a few smaller. Bottom panel: comparison of Lisot for model L.00 when computed with a polytropic index γ = 4/3 (thick lines) or γ = 5/3 (thin lines). The comparison is made for two reference recoil velocities and shows that the results are very similar, although a stiffer EOS leads to slightly larger luminosities.

Current usage metrics show cumulative count of Article Views (full-text article views including HTML views, PDF and ePub downloads, according to the available data) and Abstracts Views on Vision4Press platform.

Data correspond to usage on the plateform after 2015. The current usage metrics is available 48-96 hours after online publication and is updated daily on week days.

Initial download of the metrics may take a while.