Free Access
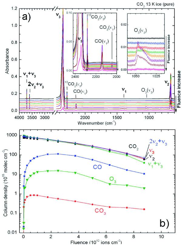
Fig. 4

a) Infrared spectra of pure CO2 ice at 13 K after different 52 MeV Ni fluences. Inset figures present details of newly formed species. b) Molecular column densities derived from the infrared spectra during the experiment.
Current usage metrics show cumulative count of Article Views (full-text article views including HTML views, PDF and ePub downloads, according to the available data) and Abstracts Views on Vision4Press platform.
Data correspond to usage on the plateform after 2015. The current usage metrics is available 48-96 hours after online publication and is updated daily on week days.
Initial download of the metrics may take a while.