Free Access
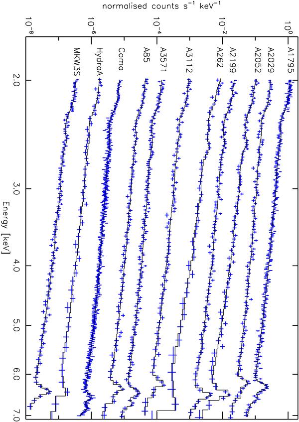
Fig. A.1

The hard band pn spectra (crosses) and the best-fit single-temperature fits (solid lines) for the cluster sample. The normalisation of the spectra is adjusted for plot clarity and does not correctly reflect the relative brightness of the clusters.
Current usage metrics show cumulative count of Article Views (full-text article views including HTML views, PDF and ePub downloads, according to the available data) and Abstracts Views on Vision4Press platform.
Data correspond to usage on the plateform after 2015. The current usage metrics is available 48-96 hours after online publication and is updated daily on week days.
Initial download of the metrics may take a while.