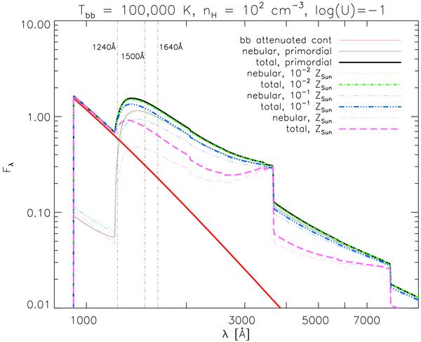
Fig. 13

Continuum of Tbb = 100000 K models as a function of the nebular metallicity for a constant density and ionization parameter. The red solid line represents the transmitted stellar (black body) continuum. The thin lines are nebular only contributions to the continuum. The thick lines are the total continuum emission (stellar + nebular). The first model is normalized at 1240 Å and the rest are rescaled accordingly.
Current usage metrics show cumulative count of Article Views (full-text article views including HTML views, PDF and ePub downloads, according to the available data) and Abstracts Views on Vision4Press platform.
Data correspond to usage on the plateform after 2015. The current usage metrics is available 48-96 hours after online publication and is updated daily on week days.
Initial download of the metrics may take a while.