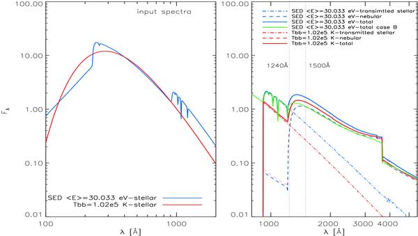
Fig. 15

Left: comparison of input stellar spectra for photoionization models showing a realistic SED (blue line; Pop III, Salpeter IMF 1−100 M⊙ at zero age) and the corresponding black body spectrum (red line) with the same average photon energy ( eV) in the Lyman continuum. The SED model is normalized at 1240 Å and the rest rescaled to match the same ionizing flux Q(H). Right: input stellar spectra (dash-dotted, same colours as left panel) and predicted nebular and total continua from our CLOUDY models for log (n(H)) = 1 cm-3 and log (U) = −1 (solid lines, using the same colours as in left panel; cf. also inset for symbols). The green solid line shows the total (stellar + nebular) SED from our evolutionary synthesis model assuming constant nebular density and temperature and case B. Notice the difference between case B and the CLOUDY result due to enhanced 2γ emission.
Current usage metrics show cumulative count of Article Views (full-text article views including HTML views, PDF and ePub downloads, according to the available data) and Abstracts Views on Vision4Press platform.
Data correspond to usage on the plateform after 2015. The current usage metrics is available 48-96 hours after online publication and is updated daily on week days.
Initial download of the metrics may take a while.