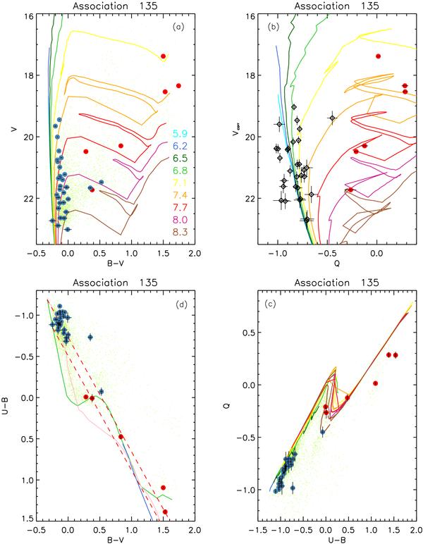
Fig. 4

Analysis of association #135, color–magnitude (top) and color–color (bottom) diagrams. Clockwise starting from top-left: a) B−V vs. V, b) Q vs. Vcorr, c) U−B vs. Q and d) B−V vs. U−B. The catalog of IC 1613 targets with good photometric quality is plotted with green dots. The likely OB stars of the association are the blue circles, and the non-OB members are represented in red. The error bars represent photometric errors. Diamonds in the Q vs. Vcorr diagram represent the OB members, their V-magnitude corrected for extinction (see Sect. 2.1). Note the larger error bars in this diagram, due to error propagation. In all panels except for the B−V vs. U−B diagram, colored lines represent the 0.2 Z⊙ isochrones of Lejeune & Schaerer (2001), whose log age is color–coded as indicated in panel a). In the B−V vs. U−B diagram, the dashed lines represent the reddening vector for O3–O9 stars. The other lines are the calibration of color with spectral type of Allen (2000) for O5-M5 main sequence stars (green), G5-M5 giants (blue), and O3-M5 supergiants (pink).
Current usage metrics show cumulative count of Article Views (full-text article views including HTML views, PDF and ePub downloads, according to the available data) and Abstracts Views on Vision4Press platform.
Data correspond to usage on the plateform after 2015. The current usage metrics is available 48-96 hours after online publication and is updated daily on week days.
Initial download of the metrics may take a while.