Free Access
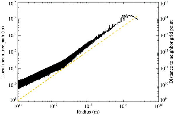
Fig. 1

The dashed line shows the local mean free path in the continuum for a model with a density profile ρ ∝ r-1.5 and a constant absorption coefficient. The full line is the average neighbor distance for a random density weighted point distribution.
Current usage metrics show cumulative count of Article Views (full-text article views including HTML views, PDF and ePub downloads, according to the available data) and Abstracts Views on Vision4Press platform.
Data correspond to usage on the plateform after 2015. The current usage metrics is available 48-96 hours after online publication and is updated daily on week days.
Initial download of the metrics may take a while.