Free Access
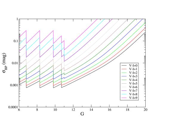
Fig. 19

Estimated precisions for one transit on the focal plane and for G, GBP, and GRP with respect to the G magnitude. The shape for bright stars is due to the decrease of the exposure time to avoid saturation of the pixels.




Current usage metrics show cumulative count of Article Views (full-text article views including HTML views, PDF and ePub downloads, according to the available data) and Abstracts Views on Vision4Press platform.
Data correspond to usage on the plateform after 2015. The current usage metrics is available 48-96 hours after online publication and is updated daily on week days.
Initial download of the metrics may take a while.