Free Access

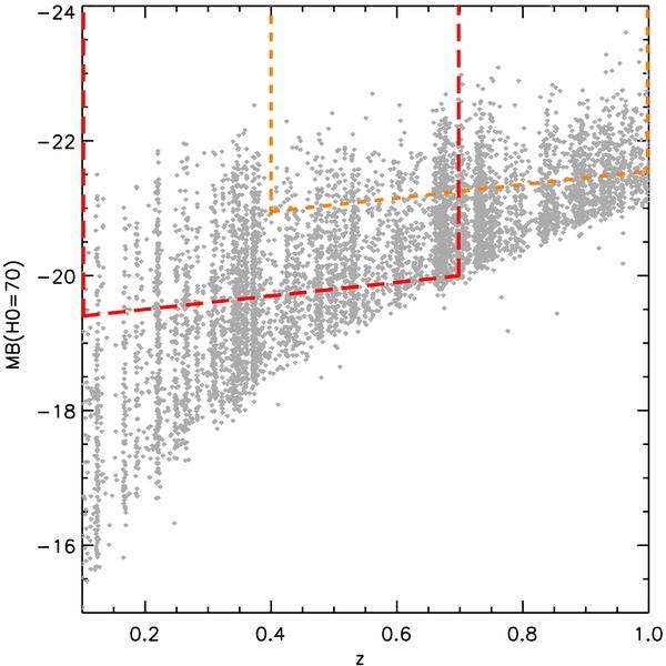
Fig. 1

thumbnail

B-band rest frame absolute magnitudes as a function of redshift for galaxies of the 10k-sample residing in the central area of the zCOSMOS field, in the redshift range considered in this paper. Two time-evolving luminosity volume limits are shown with dashed lines: the red long-dashed line represents the fainter limit (MB = −19.3 − z), for which we are complete up to z = 0.7, and the orange short-dashed line is the limit MB = −20.5 − z, for which we are complete up to z = 1.0 but for which we have enough galaxies only for z ≥ 0.4.

Current usage metrics show cumulative count of Article Views (full-text article views including HTML views, PDF and ePub downloads, according to the available data) and Abstracts Views on Vision4Press platform.

Data correspond to usage on the plateform after 2015. The current usage metrics is available 48-96 hours after online publication and is updated daily on week days.

Initial download of the metrics may take a while.