Free Access

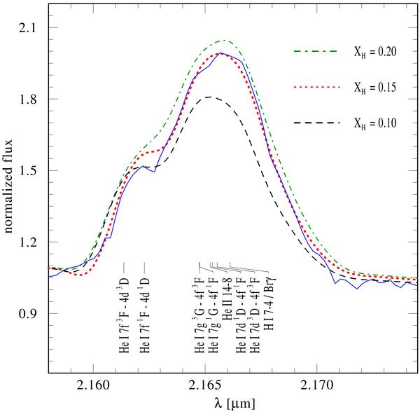
Fig. 3

thumbnail

Normalized line spectrum of WR 102d showing the Brγ/He i/He ii blend (blue solid line) with the best fitting model (red dotted line). For comparison we plot modelswith 20% (green dash-dotted line) and 10% (black dashed line) hydrogen by mass but otherwise identical parameters.

Current usage metrics show cumulative count of Article Views (full-text article views including HTML views, PDF and ePub downloads, according to the available data) and Abstracts Views on Vision4Press platform.

Data correspond to usage on the plateform after 2015. The current usage metrics is available 48-96 hours after online publication and is updated daily on week days.

Initial download of the metrics may take a while.