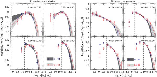
Fig. 5

Left: GSMFs of photometric early-type galaxies in D1 and D4 environments, renormalised to number density = 1 for stellar masses > ℳmin. Right: the same for photometrically late type galaxies. Dotted lines, circles and dark shaded regions represent the GSMFs in underdense regions, D1. Dashed lines, squares and light shaded regions illustrate D4 GSMFs.
Current usage metrics show cumulative count of Article Views (full-text article views including HTML views, PDF and ePub downloads, according to the available data) and Abstracts Views on Vision4Press platform.
Data correspond to usage on the plateform after 2015. The current usage metrics is available 48-96 hours after online publication and is updated daily on week days.
Initial download of the metrics may take a while.