Free Access

Fig. 7

thumbnail

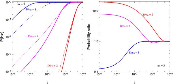
Left: probability for the instantaneous interferometric Strehl ratio I to be lower than the value ϵ for the tip-tilt correction only, for different strengths of turbulence D/r0 = 8,4,2 (respectively in blue, magenta and red), for the multimode (dotted line) and singlemode (solid line) cases. Right: multimode versus singlemode probability ratio.

This figure is made of several images, please see below:

Current usage metrics show cumulative count of Article Views (full-text article views including HTML views, PDF and ePub downloads, according to the available data) and Abstracts Views on Vision4Press platform.

Data correspond to usage on the plateform after 2015. The current usage metrics is available 48-96 hours after online publication and is updated daily on week days.

Initial download of the metrics may take a while.