Free Access

Fig. 6

thumbnail

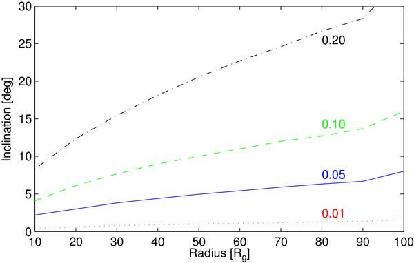
Expected fractional flux enhancement anti-correlated with the QPO period for a flare in the Keplerian motion as a function of the orbital radius and the inclination angle. The flare must be located far away or the inclination must be low to ensure that this effect does not suppress the observed opposite trend. Amplitudes larger than  ~0.05 (above the continuous blue line) are highly improbable, and low inclination (below 10 deg) is required for a flare model.

Current usage metrics show cumulative count of Article Views (full-text article views including HTML views, PDF and ePub downloads, according to the available data) and Abstracts Views on Vision4Press platform.

Data correspond to usage on the plateform after 2015. The current usage metrics is available 48-96 hours after online publication and is updated daily on week days.

Initial download of the metrics may take a while.