Free Access

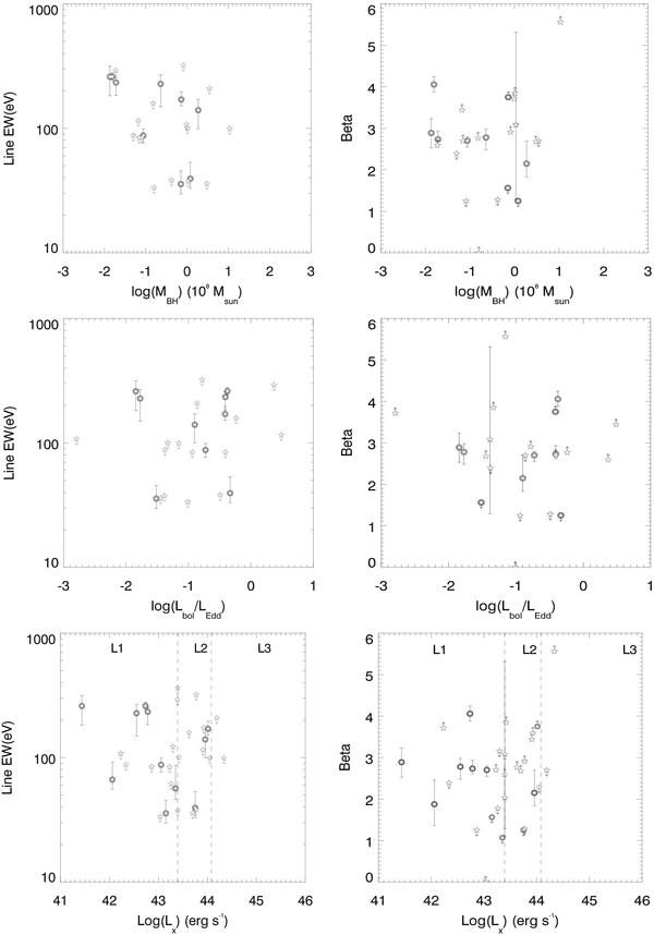
Fig. 7

thumbnail

From top to bottom, relativistic broad Fe Kα line equivalent width and β vs. black hole mass, accretion rate and hard X-ray luminosity. Filled circles indicate broad Fe Kα line detections at  ≥ 5σ confidence level (where error bars indicate the 90% confidence level intervals). The dashed vertical lines in the bottom plots indicate the L1, L2, and L3 luminosity bins as described in the text (see Sect. 4.2.3).

This figure is made of several images, please see below:

Current usage metrics show cumulative count of Article Views (full-text article views including HTML views, PDF and ePub downloads, according to the available data) and Abstracts Views on Vision4Press platform.

Data correspond to usage on the plateform after 2015. The current usage metrics is available 48-96 hours after online publication and is updated daily on week days.

Initial download of the metrics may take a while.