Free Access

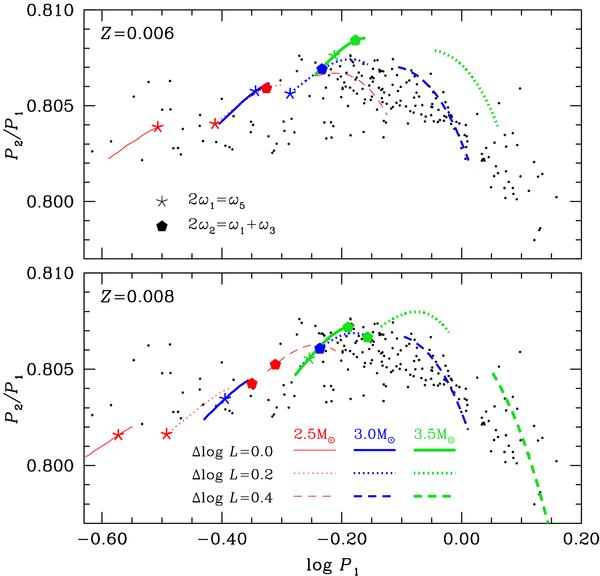
Fig. 3

thumbnail

Domains of simultaneous linear instability of first and second overtones in the Petersen diagram. Black dots represent the observed LMC double-overtone Cepheids. Line segments are models with normal and artificially increased luminosity, as described in the bottom panel. Asterisks and pentagons mark resonances between low order modes. Resonances might be helping to produce double-overtone behaviour only for the shorter-period Cepheids, but not for the more numerous longer-period ones.

Current usage metrics show cumulative count of Article Views (full-text article views including HTML views, PDF and ePub downloads, according to the available data) and Abstracts Views on Vision4Press platform.

Data correspond to usage on the plateform after 2015. The current usage metrics is available 48-96 hours after online publication and is updated daily on week days.

Initial download of the metrics may take a while.