Free Access

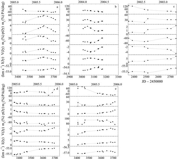
Fig. 3

thumbnail

S Per. Temporal behaviour for five prominent outbursting features at 1667 MHz with central velocities at a)  −52.9 km s-1; b)  −54.1 km s-1; c)  −55.4 km s-1; d)  −55.3 km s-1; e)  −56.9 km s-1. For each feature from the bottom to top panels are shown the drifts in velocity, Stokes I flux, Stokes V flux, degree of circular polarization mC, linearly polarized flux p, degree of linear polarization mL, and polarization PA.

Current usage metrics show cumulative count of Article Views (full-text article views including HTML views, PDF and ePub downloads, according to the available data) and Abstracts Views on Vision4Press platform.

Data correspond to usage on the plateform after 2015. The current usage metrics is available 48-96 hours after online publication and is updated daily on week days.

Initial download of the metrics may take a while.