Highlight
Free Access

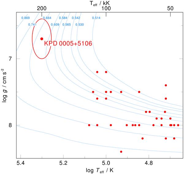
Fig. 14

thumbnail

Location of KPD 0005+5106 in the log g–log  Teff  diagram together with all other known DO white dwarfs. The evolutionary tracks for H-deficient WDs are from Althaus et al. (2009). They are labeled with the respective masses in solar units.

Current usage metrics show cumulative count of Article Views (full-text article views including HTML views, PDF and ePub downloads, according to the available data) and Abstracts Views on Vision4Press platform.

Data correspond to usage on the plateform after 2015. The current usage metrics is available 48-96 hours after online publication and is updated daily on week days.

Initial download of the metrics may take a while.