Free Access

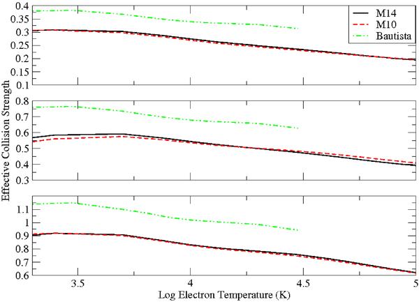
Fig. 2

thumbnail

Effective collision strengths as a function of log electron temperature in Kelvin for the fine structure transitions  →  (1–2, 1–3 and 1–4). Solid black represents the model M14, dashed red is model M10 and dot dash green is the work of Bautista et al. (2009).

Current usage metrics show cumulative count of Article Views (full-text article views including HTML views, PDF and ePub downloads, according to the available data) and Abstracts Views on Vision4Press platform.

Data correspond to usage on the plateform after 2015. The current usage metrics is available 48-96 hours after online publication and is updated daily on week days.

Initial download of the metrics may take a while.