Free Access

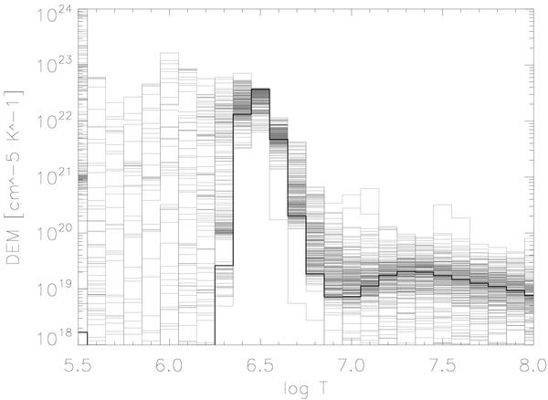
Fig. 18

thumbnail

DEM curves for the off-limb area of Fig. 16. Solution from xrt_dem_iterative2.pro in black. The solution sets from 200 different Monte Carlo realisations are overplotted.

Current usage metrics show cumulative count of Article Views (full-text article views including HTML views, PDF and ePub downloads, according to the available data) and Abstracts Views on Vision4Press platform.

Data correspond to usage on the plateform after 2015. The current usage metrics is available 48-96 hours after online publication and is updated daily on week days.

Initial download of the metrics may take a while.