Free Access

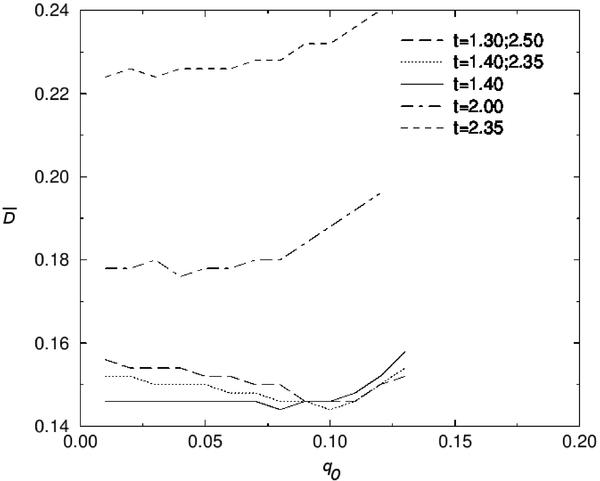
Fig. 3

thumbnail

Behavior of simulations of binary formation, compared to observations. Several slopes (the “t” parameter) of initial mass functions are shown. The IMFs with smaller slopes, together with 0.06 ≤ q0 ≤ 0.1, provide the best fits.

Current usage metrics show cumulative count of Article Views (full-text article views including HTML views, PDF and ePub downloads, according to the available data) and Abstracts Views on Vision4Press platform.

Data correspond to usage on the plateform after 2015. The current usage metrics is available 48-96 hours after online publication and is updated daily on week days.

Initial download of the metrics may take a while.