Free Access

Fig. 2

thumbnail

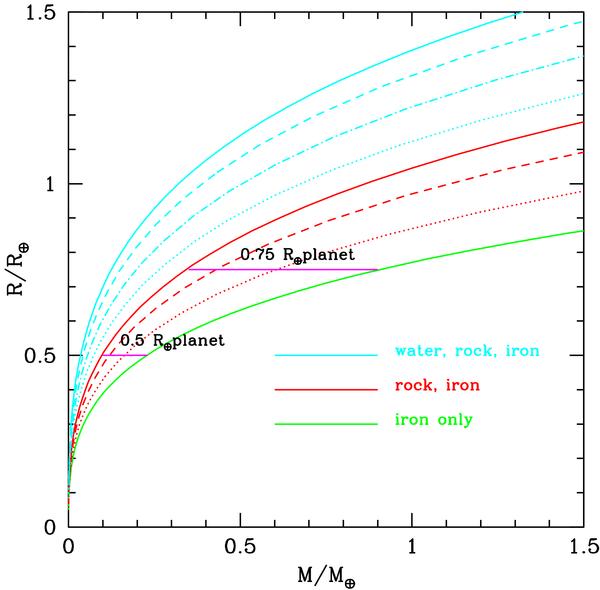
Mass-radius curves for exoplanets. The horizontal lines show planets of a fixed radius. An upper mass limit comes from the pure iron planet case. A lower mass limit comes from theoretical arguments, namely the inability of a small and low-mass planet to retain H and He. Further arguments about water loss may be used to argue that a planet cannot have a significant interior water fraction. The solid lines are homogeneous planets. From top to bottom the homogeneous planets are made of water ice (blue solid line); silicate (MgSiO3 perovskite; red solid line); and iron (Fe ϵ; green solid line). The non-solid lines are differentiated planets. The red dashed line is for silicate planets with 32.5% by mass iron cores and 67.5% silicate mantles (similar to Earth) and the red dotted line is for silicate planets with 70% by mass iron core and 30% silicate mantles (similar to Mercury). The blue dashed line is for water planets with 75% water ice, a 22% silicate shell and a 3% iron core; the blue dot-dashed line is for water planets with 45% water ice, a 48.5% silicate shell and a 6.5% iron core (similar to Ganymede); the blue dotted line is for water planets with 25% water ice, a 52.5% silicate shell and a 22.5% iron core. Curves taken from Seager et al. (2007).

Current usage metrics show cumulative count of Article Views (full-text article views including HTML views, PDF and ePub downloads, according to the available data) and Abstracts Views on Vision4Press platform.

Data correspond to usage on the plateform after 2015. The current usage metrics is available 48-96 hours after online publication and is updated daily on week days.

Initial download of the metrics may take a while.