Free Access

Fig. 9

thumbnail

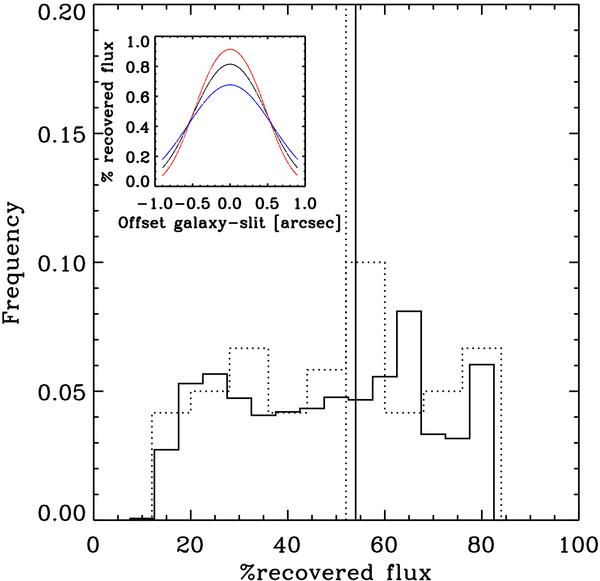
Histogram of the percentage of recovered flux, for a set of a 3000 simulated lines randomly offset with respect to the center of the slit (solid line) and for the serendipitous lines (dotted line). The vertical lines show the median for the two distributions, around 55% of the recovered flux. The small inset shows the recovered flux as a function of the offsets for the simulated lines, for the 0.7, 0.9 and 1.2 arcsec FWHM lines (respectively in red, black and blue).

Current usage metrics show cumulative count of Article Views (full-text article views including HTML views, PDF and ePub downloads, according to the available data) and Abstracts Views on Vision4Press platform.

Data correspond to usage on the plateform after 2015. The current usage metrics is available 48-96 hours after online publication and is updated daily on week days.

Initial download of the metrics may take a while.