Free Access

Fig. 17

thumbnail

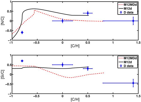
Predicted and observed [N/C] and [Si/C] ratios versus [C/H]. The model refer to an elliptical of 1012   M. In particular, the solid line refers to the fiducial case (model M12d), whereas the dotted line gives the predictions in which the metallicity dependent yield from Woosley & Weaver (1995) + Maeder (1992) are adopted (model M12MDd). Data: NLR by D’Odorico et al. (2004).

Current usage metrics show cumulative count of Article Views (full-text article views including HTML views, PDF and ePub downloads, according to the available data) and Abstracts Views on Vision4Press platform.

Data correspond to usage on the plateform after 2015. The current usage metrics is available 48-96 hours after online publication and is updated daily on week days.

Initial download of the metrics may take a while.