Free Access

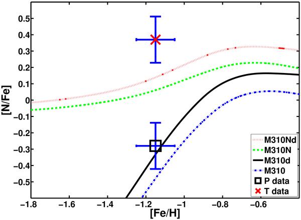
Fig. 8

thumbnail

The predictions of [N/Fe] vs. [Fe/H] ratios for a 3 × 1010 model galaxy. Cases with either primary+secondary or secondary only N production in massive stars are shown along with models with and without dust depletion. Data are taken from Teplitz et al. (2000) (Red Cross, T data), Pettini et al. (2002) (Black Square, P data).

Current usage metrics show cumulative count of Article Views (full-text article views including HTML views, PDF and ePub downloads, according to the available data) and Abstracts Views on Vision4Press platform.

Data correspond to usage on the plateform after 2015. The current usage metrics is available 48-96 hours after online publication and is updated daily on week days.

Initial download of the metrics may take a while.