Free Access

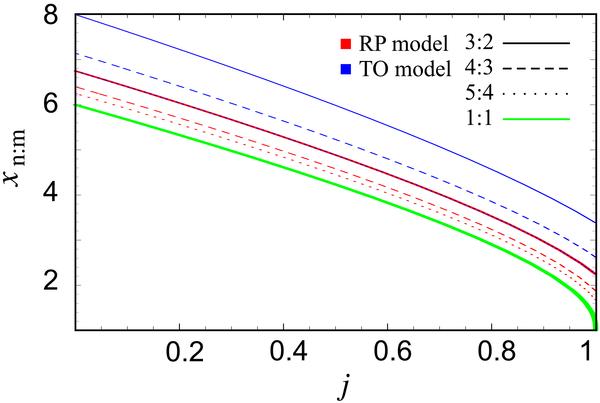
Fig.3

thumbnail

The xn:m(j;n,m) functions for the RP model (red lines) and the TO model (see Sect. 4). The thick green line represents the radius of the marginally stable orbit xms where νU/νL = 1 for both models.

Current usage metrics show cumulative count of Article Views (full-text article views including HTML views, PDF and ePub downloads, according to the available data) and Abstracts Views on Vision4Press platform.

Data correspond to usage on the plateform after 2015. The current usage metrics is available 48-96 hours after online publication and is updated daily on week days.

Initial download of the metrics may take a while.