Free Access

Fig. 2

thumbnail

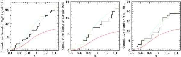
Left: cumulative number of wr(2796) > 0.3 Å intervening Mg ii systems towards blazars, excluding the systems with Δv < 5000 km s-1 (thick, black curve). The curve of intermediate thickness (red) shows the cumulative number of such Mg ii systems towards QSOs, adopting the incidence of these systems given by Nestor (see text), and the thinner (green) one is obtained by normalizing the latter to the total number of Mg ii systems towards blazars. Center: incidence of strong (wr(2796) > 1.0 Å) Mg ii systems adopting the incidence of these systems given by Prochter et al. (2006a). Right: incidence of weak (0.3 < wr(2796) < 1.0 Å) Mg ii systems.

This figure is made of several images, please see below:

Current usage metrics show cumulative count of Article Views (full-text article views including HTML views, PDF and ePub downloads, according to the available data) and Abstracts Views on Vision4Press platform.

Data correspond to usage on the plateform after 2015. The current usage metrics is available 48-96 hours after online publication and is updated daily on week days.

Initial download of the metrics may take a while.