Free Access

Fig. 5

thumbnail

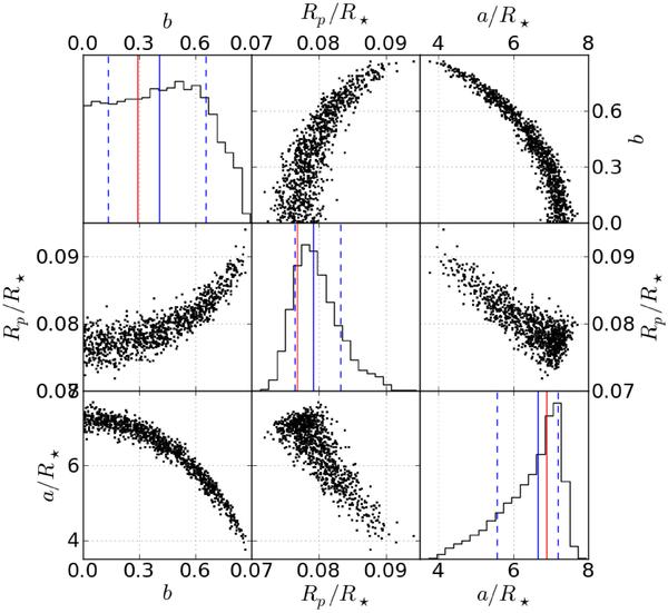
Selected posterior probability distributions and two-dimensional correlations for the transit fit. The panels along the diagonal show single-parameter posterior probability distributions for b, Rp/R  , and a/R  . The red, blue, and dashed blue vertical lines indicate the location of the best-fit, median, and the limits of the 68.5% confidence interval for each parameter. The off-diagonal panels show, for each pair of parameters, scatter plots of 1000 points randomly selected from the combined MCMC chain. The density of the points approximates the joint posterior probability distribution.

Current usage metrics show cumulative count of Article Views (full-text article views including HTML views, PDF and ePub downloads, according to the available data) and Abstracts Views on Vision4Press platform.

Data correspond to usage on the plateform after 2015. The current usage metrics is available 48-96 hours after online publication and is updated daily on week days.

Initial download of the metrics may take a while.