Free Access

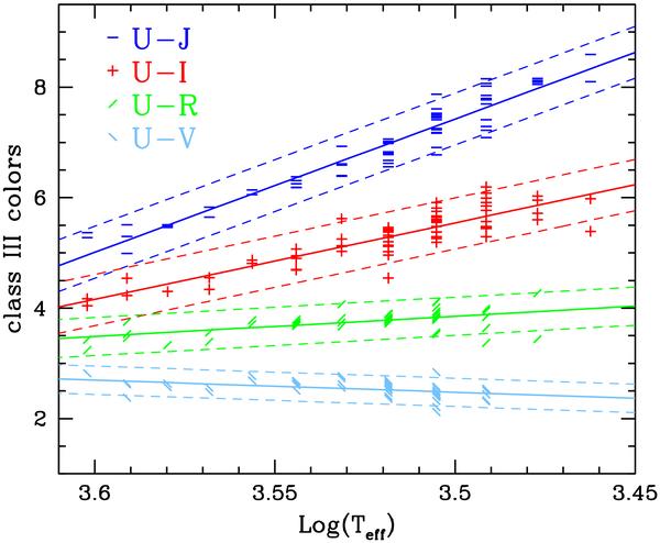
Fig. 4

thumbnail

Colors of Class III stars vs. effective temperature. Blue horizontal lines plot (U − J), red crosses (U − I), green 45 deg lines (U − R), cyan –45 deg lines (U − V), as labeled. The solid lines show the best fit, the dashed lines  ± 2σ. In the text, we will define the region between the dashed lines as the photospheric strip. (A color version of this figure is available in the online journal.)

Current usage metrics show cumulative count of Article Views (full-text article views including HTML views, PDF and ePub downloads, according to the available data) and Abstracts Views on Vision4Press platform.

Data correspond to usage on the plateform after 2015. The current usage metrics is available 48-96 hours after online publication and is updated daily on week days.

Initial download of the metrics may take a while.