Free Access

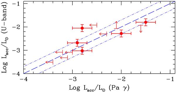
Fig. 6

thumbnail

Comparison between Lacc computed from Paγ (Gatti et al. 2008) and Lacc obtained from U-band photometry for stars in common. The dashed line refers to the same value of Lacc, the dashed-dotted lines to  ± 0.5 in log  Lacc.

Current usage metrics show cumulative count of Article Views (full-text article views including HTML views, PDF and ePub downloads, according to the available data) and Abstracts Views on Vision4Press platform.

Data correspond to usage on the plateform after 2015. The current usage metrics is available 48-96 hours after online publication and is updated daily on week days.

Initial download of the metrics may take a while.