Free Access

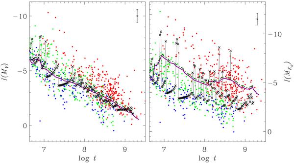
Fig. 6

thumbnail

Integrated magnitudes of open clusters in two different passbands vs. cluster age. The observations of the Galactic open clusters are shown by dots, blue for MS-clusters, green for post-MS clusters, and red for RG-clusters (see Sect. 2 for explanation). Bars in the upper-right corner of each panel indicate typical errors of the integrated magnitudes. The curves are evolutionary tracks of a continuous model with effects of mass loss incorporated for model parameters Mc = 103   m, and ml = 0.01   m (solid curve), and Mc = 5  ×  102   m, ml = 0.1   m (dash-dotted curve). The latter option (Mc = 5  ×  102   m, ml = 0.1   m), but with discrete IMF, is shown by the connected crosses.

Current usage metrics show cumulative count of Article Views (full-text article views including HTML views, PDF and ePub downloads, according to the available data) and Abstracts Views on Vision4Press platform.

Data correspond to usage on the plateform after 2015. The current usage metrics is available 48-96 hours after online publication and is updated daily on week days.

Initial download of the metrics may take a while.