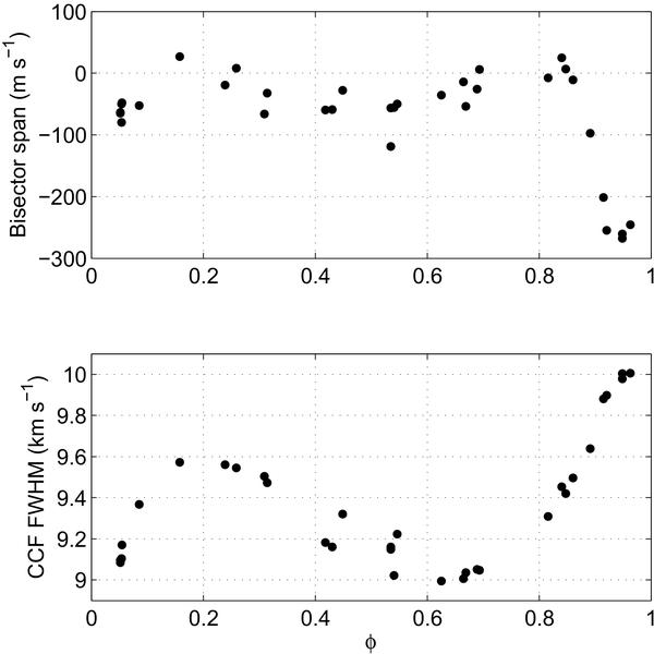
Fig. 6

Bisector velocity span (top) and FWHM of the cross-correlation function (bottom) as a function of orbital phase for HD 17289. The corresponding radial velocities are shown in Fig. 4. Both observables clearly show a phase-dependent modulation, which is likely to be caused by the companion.
Current usage metrics show cumulative count of Article Views (full-text article views including HTML views, PDF and ePub downloads, according to the available data) and Abstracts Views on Vision4Press platform.
Data correspond to usage on the plateform after 2015. The current usage metrics is available 48-96 hours after online publication and is updated daily on week days.
Initial download of the metrics may take a while.