Free Access

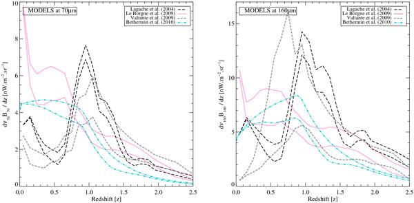
Fig. 10

thumbnail

Differential 70 (left) and 160 μm (right) background brightness dννBν / dz as a function of redshift, in units of nW m-2 sr-1, as predicted by 4 models: dash black line: Lagache et al. (2004) model; Dot magenta line: Le Borgne et al. (2009) model; Dot-dash grey line: Valiante et al. (2009); Dot-dot-dot-dash blue line: Bethermin et al. (2010c) model. For each model, the top line corresponds to all galaxies, and the bottom line to the prior selection (used in this work) of S24 > 80   μ Jy.

Current usage metrics show cumulative count of Article Views (full-text article views including HTML views, PDF and ePub downloads, according to the available data) and Abstracts Views on Vision4Press platform.

Data correspond to usage on the plateform after 2015. The current usage metrics is available 48-96 hours after online publication and is updated daily on week days.

Initial download of the metrics may take a while.