Free Access

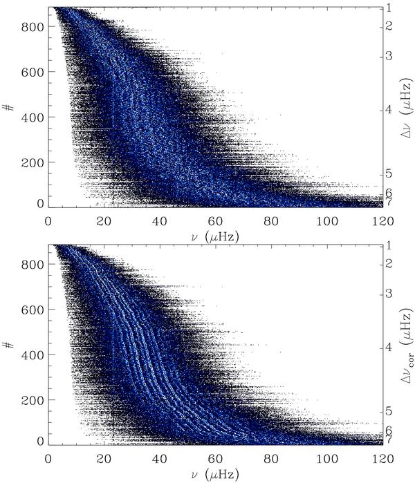
Fig. 1

thumbnail

CoRoT red giant power spectra stacked into an image after sorting on the large separation. One line corresponds to one star. a) The first sorting is based on the large separation before any correction. b) The blurred aspect disappears once the correction has been performed and reveals the clear comb structure common to all red giants. The vertical lines at 23.2 μHz are the signature of the low-Earth orbit (Auvergne et al. 2009).

This figure is made of several images, please see below:

Current usage metrics show cumulative count of Article Views (full-text article views including HTML views, PDF and ePub downloads, according to the available data) and Abstracts Views on Vision4Press platform.

Data correspond to usage on the plateform after 2015. The current usage metrics is available 48-96 hours after online publication and is updated daily on week days.

Initial download of the metrics may take a while.