Highlight
Free Access

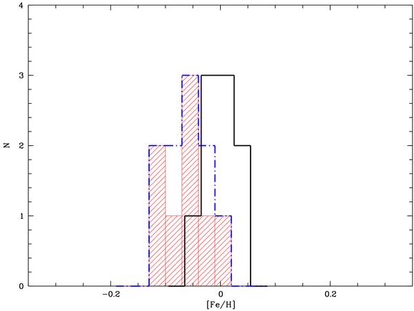
Fig. 13

thumbnail

[Fe/H] distribution for: SFRs within 500 pc from the Sun (dashed histogram), young nearby loose associations (dot-dashed line), and open clusters younger than 150 Myr and within 500 pc from the Sun (solid line). Sources of [Fe/H] values for the young open clusters are the following: α Persei (Boesgaard & Friel 1990), NGC 2516 (Terndrup et al. 2002), NGC 2451A/B (Hünsch et al. 2004), Blanco 1 (Ford et al. 2005), IC 4665 (Shen et al. 2005), IC 2602 and IC 2391 (D’Orazi & Randich 2009), and Pleiades (Soderblom et al. 2009).

Current usage metrics show cumulative count of Article Views (full-text article views including HTML views, PDF and ePub downloads, according to the available data) and Abstracts Views on Vision4Press platform.

Data correspond to usage on the plateform after 2015. The current usage metrics is available 48-96 hours after online publication and is updated daily on week days.

Initial download of the metrics may take a while.