Free Access

Fig. 10

thumbnail

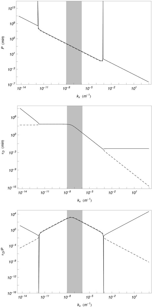
Period, damping time, and ratio of the damping time to period versus the horizontal wavenumber for the long (solid) and short (dashed) period Alfvén waves in a PIP with and kz = 1.57 × 10-5 m-1. The location of the critical wavenumbers is defined by the presence of peaks and bifurcations in the plots. The background flow speed is 15 km s-1 and the shaded region corresponds to an interval of horizontal wavelengths coincident with observed wavelengths in prominence oscillations.

Current usage metrics show cumulative count of Article Views (full-text article views including HTML views, PDF and ePub downloads, according to the available data) and Abstracts Views on Vision4Press platform.

Data correspond to usage on the plateform after 2015. The current usage metrics is available 48-96 hours after online publication and is updated daily on week days.

Initial download of the metrics may take a while.