Free Access

Fig. 3

thumbnail

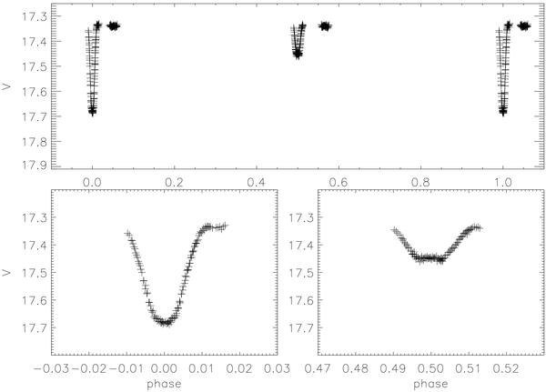
Phased V light curve for V20 from GCH08. The secondary eclipse is at phase 0.5 implying that the orbit is circular. The secondary eclipse is total.

Current usage metrics show cumulative count of Article Views (full-text article views including HTML views, PDF and ePub downloads, according to the available data) and Abstracts Views on Vision4Press platform.

Data correspond to usage on the plateform after 2015. The current usage metrics is available 48-96 hours after online publication and is updated daily on week days.

Initial download of the metrics may take a while.