Free Access

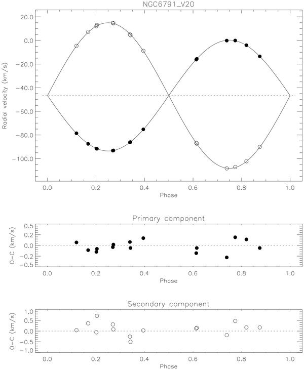
Fig. 7

thumbnail

Spectroscopic double-lined orbital solution for V20. Phase 0.0 corresponds to central primary eclipse. The horizontal dotted line (upper panel) represents the centre-of-mass velocity. Note the different scales in the (O–C) panels.

Current usage metrics show cumulative count of Article Views (full-text article views including HTML views, PDF and ePub downloads, according to the available data) and Abstracts Views on Vision4Press platform.

Data correspond to usage on the plateform after 2015. The current usage metrics is available 48-96 hours after online publication and is updated daily on week days.

Initial download of the metrics may take a while.